In the vast tapestry of the music world, the sudden passing of Xxxtentacion left a void. For many, the unveiling of his autopsy report and accompanying photos became a focal point of discussions, bridging the gap between closure and curiosity.
RELATED: Khloe Kardashian Net Worth: From TV Screen to Business Queen
This article aims to provide a comprehensive understanding of the report while emphasizing the significance of his musical journey.
Table of Contents
The Legacy of Xxxtentacion
Before diving deep into the autopsy, it’s essential to remember who XXXTentacion was as an artist.
Born Jahseh Dwayne Ricardo Onfroy, XXXTentacion rapidly ascended the musical ladder with his raw talent and unique sound. His tracks often resonated with listeners, bearing the weight of personal trials and tribulations.
RELATED: Taylor Swift Net Worth: The Rise of a Pop Phenomenon
However, his journey was tragically halted on June 18, 2018, when he was shot and killed in Deerfield Beach, Florida. But his musical influence remains undiminished, echoing through the industry.
Key Points from the Autopsy Report
According to the autopsy, Onfroy exhibited an unusually enlarged colon. The report confirmed the cause of his death as gunshot injuries sustained during the incident outside a motorcycle dealership in Deerfield Beach.
The death certificate, accessible through Autopsyfiles.org, reiterates the tragic circumstances surrounding his departure.
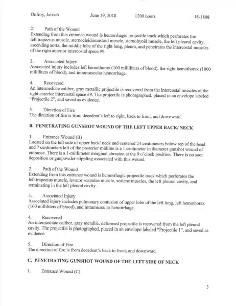
Photos Accompanying the Xxxtentacion Autopsy
Below is the original photo of xxxtentacion’s autopsy report:











Unraveling the Cause
The fateful day in June witnessed the abrupt loss of a promising star. Multiple gunshots leading to fatal injuries were confirmed as the immediate cause, leaving the music community in mourning and disbelief.
RELATED: Cardi B Net Worth: From Stripper to Chart-Topping Rapper
The Courtroom Saga
The legal proceedings at the Broward County Courthouse in Fort Lauderdale, Florida, have witnessed significant developments. The trial saw testimonies from various key figures, including the Broward County Medical Examiner and Onfroy’s aunt.
The three accused – Michael Boatwright, Dedrick Williams, and Trayvon Newsome – face grave charges connected to the incident. While Boatwright is allegedly the shooter, Williams and Newsome are considered accomplices. A conviction may result in life imprisonment for the trio.
Reflecting on the Unveiling
The dissemination of Xxxtentacion’s autopsy details and photos has certainly ignited diverse reactions. Some see it as an essential piece in understanding his tragic end, while others feel it encroaches upon his privacy.
What remains paramount is approaching this matter with sensitivity and compassion, realizing that the details represent an intensely personal chapter of Onfroy’s life.
In the end, let’s choose to celebrate Xxxtentacion’s artistic genius and the indelible mark he left on music, rather than solely focusing on the circumstances of his demise.
